物候变化是高寒地区陆地生态系统响应气候变化的敏感指标。在全球气候变化背景下,青藏高原植物物候变化引起的生态系统变化改变陆面和大气过程,进而影响高原和周边地区的天气和气候。2022年7月下旬,老司机论坛 傅伯杰院士团队和中科院青藏高原所生态系统功能与全球变化团队在《自然综述:地球与环境》(Nature Reviews Earth & Environment)发文,阐述了青藏高原植物物候时空变化、驱动机制及生态与气候效应。
基于遥感观测的结果表明,在过去四十年,青藏高原春季物候事件发生时间显著提前,秋季物候事件发生时间显著推迟(图1)。高原平均水平上的生长季开始期(SOS)在1982 ~1999年间提前了9.4±2.2天,在2000 ~2020年间提前了8.3±2.0天;而生长季结束日期(EOS)在1982~1999年间无显著变化,在2000~2020年间推迟了8.2±1.9天。基于地面观测的结果则略有不同,在1983~2017年间,初花期以0.16±0.06天/年的速度显著提前,叶变色以0.32±0.08天/年的速度显著推迟;而返青和果熟期整体上无显著变化趋势。但是地面观测仅包括少量物种和站点,代表性有限。
利用IPCC第六次评估中使用的气候模式资料驱动基于过程的物候模型,预估了未来物候相较于2000 ~2014年,到本世纪末,在高和极高温室气体排放情景下(SSP3-7.0和SSP5-8.5),SOS将分别提前7.4和8.8天,EOS将分别推迟10.1和14.0天,因此模型模拟的物候变化将会放缓。

图1.青藏高原植物物候变化。(a和d)基于不同遥感数据计算的高原平均的生长季开始(SOS)和结束期(EOS)的年际波动;(b、c、e和f)SOS和EOS变化趋势的空间格局,负值表示提前,正值表示推迟;(g)基于地面观测的各物候期的整体变化趋势,括号中数字表示用于计算整体趋势的时间序列个数,深绿色和橙色分别表示早花物种和中花物种;(h和i)模型预估的未来不同气候变化情景下高原平均SOS和EOS变化(相较于2000-2014平均)。
据已有观测证据,SOS提前和EOS推迟的主要驱动因素是温度升高和降水增加(图2)。由于温度和水分条件的交互作用和背景气候的影响,物候对气候变化的响应呈现较大的时空异质性。水分不足在干旱区域会导致SOS推迟,EOS提前,并且这种影响沿干旱梯度增大。水分条件还调节物候对温度的响应:SOS对温度的敏感性随着干旱程度加剧而变小;水分不足导致EOS和白天温度呈负相关(升温时EOS提前),因此变暖对EOS的推迟作用主要来自夜间升温。除了气候因子,在生长季较短的区域, EOS也受到SOS的影响,表现为EOS随着SOS提前(推迟)而提前(推迟)。

图2. 青藏高原植被物候变化的驱动因素。(a)生长季开始期(SOS)对季前日均温的敏感性,负值表示升温导致SOS提前,正值表示升温导致SOS推迟;(b、c和d)生长季结束期(EOS)对季前日均温、季前夜间温度和季前日间温度的敏感性;(e和f)SOS和EOS对季前降水的敏感性;(g)EOS对SOS的敏感性。每幅图中左下角小图标注的是敏感性显著(P < 0.05)的像元。
基于控制实验的种群水平研究也进一步证实了温度和降水对物候的控制作用(图3)。通过结构方程模型分析发现:温度和水分的增加可促使植物开始展叶和开花的时间提前,推迟叶变色结束的时间;温度对植物物候影响的直接效应比水分条件更强,但增温实验导致的水分条件变差可能会削弱(甚至逆转)温度对物候的影响。基于控制实验研究的分析也进一步印证了早期物候事件对其后续物候事件的影响:展叶开始时间的提前可以促使开花时间提前,开花时间的提前也可以促使叶变色结束时间提前(图4)。

图3. 控制实验中不同处理方式对植物物候的影响。(a)各物候期对不同处理方式的响应,包括展叶始期(OLO)、初蕾期(FBS)、初花期(FFL)、终花期(LFL)、初果期(FFR)、终果期(LFR)和叶变色末期(ELC),负值表示物候期提前,正值表示物候期推迟;(b)各物候(发育)阶段持续时间对不同处理方式的响应,包括展叶持续时间(LOD)、花期持续时间(FLD)、结实期持续时间(FRD)、繁殖期持续时间(RPD)和生长季长度(GSD),负值表示持续时间缩短,正值表示持续时间延长。控制实验中的处理方式包括:增温(W)、降温(C)、模拟降水变化(P+,增加降水;P−,减少降水;PP,降水季节性分布变化,详见原文)、氮添加(N)、刈割(M)、放牧(G)、增温增水(W+P)、增温降水(W−P)、加氮增水(N+P)和加氮且刈割(N+M)。

图4. 基于结构方程模型分析温度、土壤含水量和早期物候事件对物候的影响。红色箭头表示正效应,蓝色箭头表示负效应,灰色虚线箭头表示无显著效应。箭头上的数字是标准化路径系数,反映了变量影响的大小(*** P < 0.001,** P <0.01)。R2表示由温度、土壤含水量和/或早期物候事件解释的变异比例。构建模型使用的数据来源于青藏高原(主要在高山草甸上进行)的控制实验。
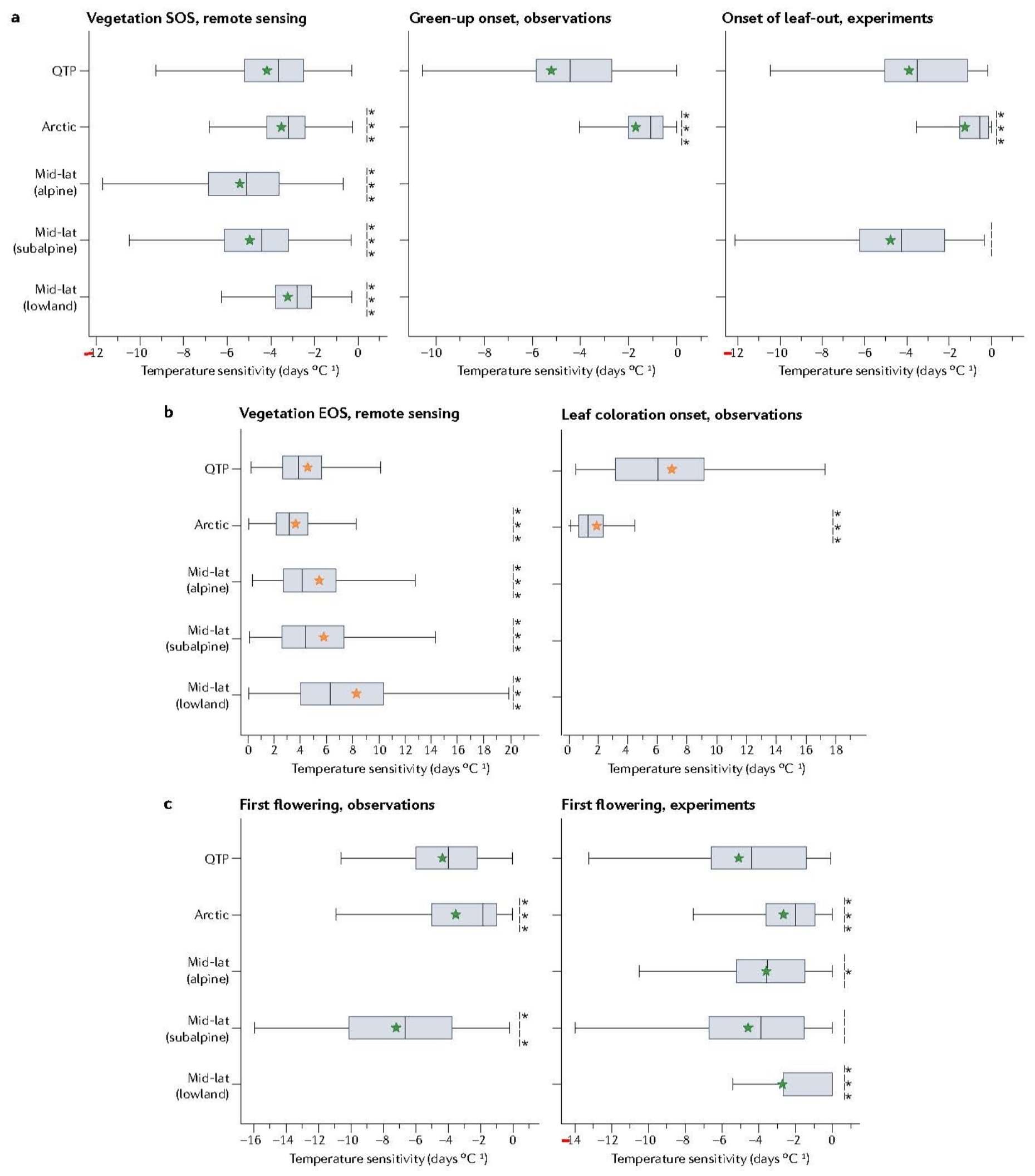
对比青藏高原地区和北半球其他地区的草地物候发现,青藏高原地区草地SOS的提前趋势和EOS的推迟趋势均高于北半球地区平均水平,也比北极苔原地区和蒙古高原地区更加明显。青藏高原草地的主要春季物候事件和秋季EOS、叶变色时间的温度敏感性均高于北极地区草地,但SOS和EOS的温度敏感性低于中纬度高山和亚高山地区草地(图5)。

图5. 青藏高原与北极地区和中纬度地区草地物候的温度敏感性比较。QTP:青藏高原;Arctic:北极地区(>60 °N);Mid-lat (alpine):中纬度高山地区(30–60°N,海拔> 3000米);Mid-lat (subalpine):中纬度亚高山地区(30–60°N,海拔在1000到3000米之间);Mid-lat (lowland):中纬度低地地区(30–60°N,海拔< 1000米)。(a)春季叶物候的温度敏感性,从左到右依次为基于遥感植被指数计算的植被生长季开始期,基于观测的返青始期和基于控制实验的展叶始期。(b)秋季叶物候的温度敏感性,左边是基于遥感植被指数计算的植被生长季结束期,右边是基于观测的叶变色始期。(c)基于观测数据(左)和基于控制实验(右)的初花期的温度敏感性。每个箱中的直线和星号分别代表了中值和均值。*** P < 0.05,** P < 0.05和* P < 0.10表示该地区的物候温度敏感性与青藏高原有显著差异。
在气候变暖影响青藏高原植物物候的同时,气候变化导致的物候变化也对生态系统和气候产生影响。物候变化可能通过影响物种间的相互作用来改变群落结构,还可以引起生态系统功能的变化,进而对气候(如亚洲季风和中国东部的春季降雨)产生影响。
论文还指出了目前青藏高原物候变化及其驱动机制研究的不足之处,并提出近期研究方向:(1)纳入主要物种,建设更多的站点,提高地面长期物候观测的代表性;(2)提高现有卫星遥感数据的质量,通过多尺度人工物候观测和近地遥感同步监测,开展遥感物候的验证以及多源物候数据融合;(3)在控制实验中,考虑生物因素(如微生物,种间作用)及温度和水分以外的非生物因素对物候的影响,同时补充高原西部地区的控制实验研究;(4)融合不同学科,进一步阐释物候变化的机理及其对生态系统和天气、气候系统的影响。
老司机论坛 沈妙根教授为论文第一作者,傅伯杰院士、沈妙根教授和中国科学院青藏高原研究所汪诗平研究员为通讯作者。合作作者有地理学部赵文武教授,姜楠博士,北师大水科学研究院付永硕教授,电子科技大学曹入尹副教授(地理学部毕业生),瑞士联邦森林、雪与景观研究所Yann Vitasse博士和北京大学朴世龙院士等。该研究得到第二次青藏高原综合科学考察研究项目(2019QZKK0405)和中央高校基本科研业务费专项资金等项目的支持。
论文信息:
Miaogen Shen*, Shiping Wang*, Nan Jiang, Jianping Sun, Ruyin Cao, Xiaofang Ling, Bo Fang, Lei Zhang, Lihao Zhang, Xiyan Xu, Wangwang Lv, Baolin Li, Qingling Sun, Fandong Meng, Yuhao Jiang, Tsechoe Dorji, Yongshuo Fu, Amy Iler, Yann Vitasse, Heidi Steltzer, Zhenming Ji, Wenwu Zhao, Shilong Piao, Bojie Fu*. Plant phenology changes and drivers on the Qinghai-Tibetan Plateau. Nature Reviews Earth & Environment. 2022. //doi.org/10.1038/s43017-022-00317-5